MantiumCAE

  1. DrivAER_Fastback
  2. MantiumWFlow V0.9
Geometry Overview

This is an example of MantiumWFlow, a tool designed to streamline any CFD process.
MantiumWFlow sets up CFD simulations completely automated.
The philosophy is: CAD In -> Report Out.
The user more or less only has to add CAD data into specific folders with names like "frt_wheels", "rr_wheels", "vehicle_body", "high_resolution_geo" etc.
The CFD simulation is subsequently set up, run and post-processed by MantiumWFlow.
The user receives an html report similar to this one.
This is the report of a DrivAER model run on on teideHPC with 40 million cells.




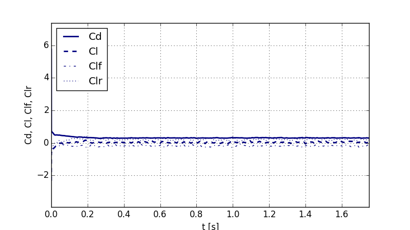
Integrated Force Coefficients
Cd Cl Cl_front Cl_rear Cd*A Cl*A Cl_front*A Cl_rear*A
0.306 0.0387 -0.182 0.221 0.657 0.0829 -0.39 0.473

















The DriveAER model is supplied by Institute of Aerodynamics and Fluid Mechanics of the TU Munich.
This simulation was supported by teideHPC.teideHPC.

  1. Contact MantiumCAE for additional information or technical support!